Ключові слова: артрогенні контрактури, роботизована реабілітація, фізична терапія, Omego Plus, нижні кінцівки, ходьба, біль, функціонування, обмеження життєдіяльності
Key words: arthrogenic contractures, robotic rehabilitation, physical therapy, Omego Plus, lower extremities, walking, pain, limitations of activities of daily living
Реферат
В умовах воєнних дій в Україні значно зросла кількість пацієнтів із травмами кінцівок. Понад 60% втрат особового складу пов'язані з ускладненнями травм опорно-рухового апарату, зокрема артрогенними контрактурами. Резистентність таких станів до стандартної терапії зумовлює необхідність пошуку новітніх технологічних рішень, зокрема роботизованих систем з біологічним зворотним зв’язком “Omego Plus”. Мета: підвищення ефективності реабілітації пацієнтів з артрогенними контрактурами суглобів нижніх кінцівок шляхом клініко-функціонального обґрунтування та інтеграції в реабілітаційний процес роботизованої системи «Omego Plus». У рандомізоване дослідження було включено 60 пацієнтів (20-53 роки). Основна група (n=30) отримувала стандартну фізичну терапію (NICE-2022) та доповнену заняттями на системі «Omego Plus» (60 хв, 5 разів на тиждень, ). Контрольна група (n=30) займалася за стандартним протоколом. Оцінювання проводили поетапно (на початку дослідження, через 6 тижнів та через 3 місяці після виписки) за допомогою гоніометрії, (ММТ), візуально-аналогової шкали болю (ВАШ) та 10-метрового тесту (10MWT). В основній групі зафіксовано статистично високозначущу перевагу у відновленні згинання колінного суглоба до рівня функціональної норми (120 градусів, p=0,0005) та достовірний приріст амплітуди дорсального згинання стопи (p=0,0008). Аналіз м’язової сили виявив достовірно вищі абсолютні показники в основній групі на візиті 3 для відвідних м’язів (p=0,02) та внутрішніх ротаторів стегна (p=0,04), що свідчить про ефективніше рекрутування рухових одиниць роботизованої системи зі зворотним біологічним зв’язком «Omego Plus». Динаміка швидкості ходьби за тестом 10MWT підтвердила накопичувальний ефект роботизованої системи «Omego Plus»: міжгрупова перевага сформувалася на фінальному етапі оцінювання. Анальгезуючий ефект був найбільш вираженим між 2 та 3-м візитами (p<0,05), що вказує на стійкість результату та зниження явищ центральної сенситизації. Впровадження «Omego Plus» у післягострому періоді в основній групі забезпечувало відновлення мобільності рухів суглобів, збільшення силових показників та зниження больового синдрому. Результати обґрунтовують доцільність інтеграції роботизованої системи «Omego Plus» для подолання прогалин у реабілітації пацієнтів з артрогенними контрактурами.
Abstract
The impact of the robotic rehabilitation system with biological feedback "Omego Plus" on the functioning of patients with arthrogenic contractures of the joints of the lower extremities. Riahuzova O.T., Nekhanevych O.B., Lohvynenko V.V. Under the ongoing military actions in Ukraine, the number of patients with limb injuries has increased significantly. Over 60% of personnel losses are associated with complications from musculoskeletal injuries, specifically arthrogenic contractures. The resistance of such conditions to standard therapy necessitates the search for innovative technological solutions, particularly robotic systems with biofeedback, such as the "Omego Plus" system. Purpose. To enhance the effectiveness of rehabilitation for patients with arthrogenic contractures of the lower limb joints through clinical and functional justification and the integration of the "Omego Plus" robotic system into the rehabilitation process. This randomized controlled trial included 60 patients (aged 20-53 years). The main group (n=30) received standard physical therapy (NICE-2022 protocol) supplemented with sessions on the "Omego Plus" system (60 min, 5 times per week for 6 weeks). The control group (n=30) followed the standard protocol only. The assessment was carried out in stages (at the beginning of the study, after 6 weeks, and 3 months after discharge). Effectiveness was evaluated using goniometry, Manual Muscle Testing (MMT), the Visual Analog Scale (VAS) for pain, and the 10-Meter Walk Test (10MWT). A statistically significant advantage was observed in the main group regarding the recovery of knee flexion to the functional norm (120 degree, p=0.0005) and a significant increase in the amplitude of ankle dorsiflexion (p=0.0008). Analysis of muscle strength revealed significantly higher absolute values in the main group at Visit 3 for the hip abductors (p=0.02) and internal rotators (p=0.04), indicating more effective motor unit recruitment by the "Omego Plus" robotic system with biofeedback. Gait speed dynamics according to the 10MWT confirmed a cumulative effect of the "Omego Plus" system: the intergroup advantage was established during the final assessment stage. The analgesic effect was most pronounced between the second and third visits (p<0.05), indicating the stability of the result and a reduction in central sensitization phenomena. The implementation of "Omego Plus" during the post-acute period ensures rapid recovery of mobility, a significant increase in muscle strength indicators, and sustained reduction of the pain syndrome. The results justify the integration of the "Omego Plus" robotic system to address existing "gaps" in the rehabilitation of patients with arthrogenic contractures.
Захворювання та травмування опорно-рухового апарату розглядаються як одна з провідних причин формування хронічного больового синдрому, функціональної недостатності та стійкої дезінтеграції життєдіяльності пацієнтів у глобальному вимірі. Поєднання тривалої іммобілізації з комплексними ушкодженнями кісткових структур, нервових волокон та м’яких тканин формує чисельну когорту осіб з високим ризиком розвитку тяжких артрогенних контрактур, що зумовлює необхідність оптимізації та вдосконалення стратегій реабілітаційного втручання [3, 4, 5, 19].
Артрогенна контрактура – це стабільне обмеження активного та пасивного обсягу рухів, зумовлене патологічними змінами безпосередньо в його порожнині або навколишніх тканинах. В основі розвитку цього стану лежить поєднання хронічного запального процесу, деструкції хряща та фіброзного переродження періартикулярних структур, що сукупно формує стійку втрату мобільності суглобів. Клінічні наслідки контрактур охоплюють хронічний больовий синдром, порушення біомеханіки ходьби, підвищений ризик падінь. Тривалий функціональний дефіцит також корелює з розвитком психосоціальних порушень, зокрема депресивних симптомів, що знижує якість життя пацієнтів та підвищує їхню залежність від сторонньої допомоги [2, 3, 17, 21]
Проблема відновлення обсягу рухів у суглобах набула стратегічного значення для системи охорони здоров’я України внаслідок повномасштабної військової агресії. Це зумовлено безпрецедентним зростанням кількості пацієнтів з бойовою політравмою, зокрема поєднаними вогнепальними та мінно-вибуховими ураженнями опорно-рухового апарату. Згідно з актуальними даними, травми кінцівок є найбільш поширеними у структурі бойових ушкоджень, досягаючи 60,1% від загальної кількості санітарних втрат. Особливий механізм мінно-вибухової травми, на частку якої припадає до 95% поранень з лютого 2022 року, детермінує не лише гострий функціональний дефіцит, а й високу ймовірність формування стійких артрогенних контрактур у віддаленому періоді. Такий масштаб інвалідизуючих наслідків прогнозує системну кризу у сфері громадського здоров’я та вимагає негайної оптимізації реабілітаційних стратегій [9, 12, 19, 20]
Аналіз провідних профільних платформ та доказових баз даних з фізичної терапії (PEDro, Cochrane Library, Pubmed) свідчить про відсутність вузькоспеціалізованих клінічних настанов, присвячених безпосередньо менеджменту артрогенних контрактур. Наявна інформація здебільшого обмежена загальними принципами профілактики обмежень рухливості суглобів та рекомендаціями щодо ведення пацієнтів з м’язово-сухожилковими укороченнями. та методів втручання базується на дослідженнях на моделях тварин, результати яких потребують обережної інтерпретації та не можуть бути повноцінно екстрапольовані на складну клінічну картину [6, 15, 26].
Відсутність диференційованих протоколів фізичної терапії, які б ураховували специфіку стабільних артрогенних змін – таких як дегенерація хряща та фіброзна трансформація капсульно-зв’язкового апарату – створює суттєву наукову прогалину.
Для ефективності подолання цих викликів доцільно впроваджувати роботизовані системи. Вони дають змогу виконувати велику кількість повторень, що критично важливо для відновлення нормальної, фізіологічної роботи суглобів та м'язів. Застосування системи «Omego Plus» із функцією біологічного зворотного зв’язку дозволяє реалізувати диференційоване дозування механічного навантаження, що є важливим для ремоделювання тканин при артрогенній тугорухливості. Це не лише інтенсифікує терапевтичний процес, а й оптимізує роботу фахівця з фізичної терапії, нівелюючи надмірне фізичне навантаження [1, 2, 13, 14, 22, 23]
У нашому попередньому дослідженні було обґрунтовано та підтверджено ефективність застосування роботизованої системи «Omego Plus» з біологічним зворотним зв'язком у реабілітації пацієнтів з міогенними контрактурами нижніх кінцівок. Отримані результати засвідчили, що впровадження цієї технології дозволяє досягти зростання м'язової сили, збільшення обсягу рухів та збільшення швидкості ходьби на тлі вираженого зниження інтенсивності больового синдрому [14].
Однак у клінічній практиці важливою є диференціація обмежень рухливості за їхнім генезом. На відміну від міогенних контрактур, що мають високий реабілітаційний потенціал, артрогенні контрактури характеризуються значно вищою складністю відновлення через глибоку структурну перебудову суглобових елементів [3, 14]. Зважаючи на ці принципові патогенетичні відмінності, дані щодо ефективності роботизованої терапії при м'язових скороченнях не можуть бути автоматично екстрапольовані на випадки стабільних суглобових обмежень. Це зумовлює актуальність нашого поточного дослідження, спрямованого на верифікацію результативності системи «Omego Plus» у пацієнтів з артрогенними контрактурами нижніх кінцівок.
Метою дослідження є підвищення ефективності реабілітації пацієнтів з артрогенними контрактурами суглобів нижніх кінцівок шляхом клініко-функціонального обґрунтування та інтеграції в реабілітаційний процес роботизованої системи «Omego Plus».
МАТЕРІАЛИ ТА МЕТОДИ ДОСЛІДЖЕНЬ
Дослідження було проведене відповідно до вимог Гельсінської декларації Всесвітньої медичної асоціації «Етичні принципи медичних досліджень за участю людини в якості об’єкта дослідження». Усі пацієнти, які взяли участь у дослідженні, надали інформовану письмову згоду. Дослідження виконувалось у рамках науково-дослідної роботи кафедри фізичної реабілітації, спортивної медицини та валеології Дніпровського державного медичного університету «Медичне, фізіотерапевтичне та ерготерапевтичне забезпечення спортивних, оздоровчих та реабілітаційних тренувань» (№ 0121U114435, термін виконання 2022-2026 рр.) і було схвалено комісією з питань біомедичної етики Дніпровського державного медичного університету (протокол № 12 від 25.10.2023).
Дизайн дослідження: рандомізоване контрольоване дослідження з паралельними групами. Протягом 2024-2025 рр. у дослідження були включені 66 пацієнтів з артрогеними контрактурами суглобів нижніх кінцівок, із середнім віком 39,5 років, що отримували реабілітацію на базі відділення фізичної та реабілітаційної медицини КНП «Міська клінічна лікарня №4» Дніпровської міської ради» за програмою післягострого реабілітації. Критеріями включення були: діагноз посттравматичної контрактури одного або декількох суглобів нижньої кінцівки (кульшового, колінного, гомілковостопного) з обмеженням рухливості артрогенного походження з використанням оцінки патологічного кінцевого відчуття «жорстке», «пружинний блок», «капсулярний тип», що становить від 5% до 15% від норми, виміряний за допомогою гоніометрії [7, 10], старше 18 років, можливість самостійного пересування (з/без допоміжних засобів), загоєння післяопераційних ран (у разі оперативного втручання), надання письмової інформованої згоди на участь у дослідженні. Критерії виключення: використання апарата ої фіксації, ознаки декомпенсації серцево-судинних та інших захворювань, захворювання суглобів нижніх кінцівок в анамнезі, що призвели до стійкого обмеження рухливості, вроджені або набуті деформації суглобів нижніх кінцівок, недостатній рівень когнітивних функцій, що обмежує здатність розуміти інструкції фізичного терапевта (менше 24 балів за Монреальським когнітивним тестом (МоСА), за візуально-аналоговою шкалою (ВАШ), відмова в наданні інформованої письмової згоди на участь у дослідженні, наявність клінічних ознак ураження верхнього або нижнього рухового нейрона, наявність кінцевого відчуття «кістка до кістки» суглоба [2, 11]. За результатами застосування критеріїв виключення з дослідження вибули 6 пацієнтів, зокрема 1 особа мала апарат ьої фіксації, 3 пацієнти – запалення та активну фазу , 1 пацієнт – рівень МоСА 19 балів, 1 – відмовився надати згоду на участь у дослідженні.
Після застосування критеріїв включення-виключення в подальшому дослідженні продовжили участь 60 пацієнтів, яких розподіляли відповідно до рандомізаційної таблиці, що була заздалегідь сформована в сервісі Google Sheets (Google-таблиці), до двох груп (основну і контрольну) по 30 осіб в кожній. Сформовані групи не відрізнялись за віком, за статтю, (табл. 1). У дослідженні брали участь пацієнти у віці від 20 до 53 років, середній вік становив 39,5 (7,3) років, 26,7% з яких склали жінки, 73,3% – чоловіки, у контрольній – 93,3% чоловіки, жінки – 6,7% (р<0,05).
Показник Групи порівняння основна (n=30) контрольна (n=30) р Вік, роки 38,6 (7,8) 40,3 (6,8) 0,37 Стать Ч 22 (90,0 %) 28(95, 0%) 0,04 Ж 8 (10,0 %) 2 (5,0 %) Примітки: Ч – чоловіки; Ж – жінки; р – рівень статистичної значущості.
Контрольна група отримувала стандартну фізичну терапію тривалістю 60 хвилин за заняття. Програма фізичної терапії для пацієнтів контрольної групи була розроблена на основі рекомендацій клінічної настанови NICE-2022 з реабілітації травматичних ушкоджень: тренування ходьби, вправи на розтягання, рівновагу, силу. Заняття проводились 5 разів на тиждень (4 тижні) під час стаціонарного етапу та 5 разів на тиждень (2 тижні) на амбулаторному етапі відповідно до пакетів медичних гарантій. У віддаленому періоді пацієнти виконували самостійну програму, спрямовану на збільшення гнучкості, сили, рівноваги та швидкості ходьби [NICE – 2022].
Крім стандартної програми на основі рекомендацій клінічної настанови NICE-2022 з реабілітації травматичних ушкоджень, пацієнтам основної групи призначали заняття з використанням роботизованої системи реабілітації зі зворотним біологічним зв’язком «Omego Plus». Програма реабілітації складалася з 60-хвилинних занять, спрямованих на розвиток витривалості та контроль рухів. Пацієнти виконували вправи з опорою на педалі роботизованого пристрою, де поступово зростав опір та збільшувався обсяг рухів у кульшовому, колінному суглобах. Розроблена програма фізичної терапії базувалася на застосуванні функціонально спрямованих тренувань тривалістю 60 хвилин, пріоритетними завданнями яких були розвиток загальної витривалості та вдосконалення нейром’язового контролю рухів. Центральною ланкою були втручання на роботизованому пристрої з біологічним зворотним зв'язком з використанням педальних модулів, що передбачало поступове кінематичне розширення (збільшення амплітуди рухів у кульшовому та колінному суглобах відповідно до функціональних можливостей пацієнта) та впровадження прогресуючого опору для інтенсифікації м’язової відповіді.
Для зміцнення м’язів-стабілізаторів застосовували режим, що поєднував ізотонічні рухи з короткочасною ізометричною експозицією (статичною фіксацією) у точках максимальної м'язової напруги. Окремий блок вправ був присвячений ізольованій зміні функцій гомілковостопного суглоба за допомогою спеціалізованих педалей із фіксацією стопи, який реалізовував рух виключно в площині плантарного згинання. Ця біомеханічна модель дозволяла акцентувати увагу на керованому ексцентричному навантаженні м’язів дорсального згинання, що є критично важливим фактором для відновлення фізіологічних фаз опору та переносу стопи під час ходьби.
Дозування фізичного навантаження здійснювалося за індивідуалізованим принципом на основі моніторингу об’єктивного статусу пацієнта шляхом гоніометрії цільових суглобів для визначення доступного безболісного діапазону рухів. Контроль реалізовувався за допомогою болю (ВАШ), допустимим порогом вважалася інтенсивність больового синдрому не більше 6 балів, при перевищенні якого рівень навантаження негайно коригувався. Додатково враховувалася суб’єктивна оцінка самопочуття пацієнта та наявність ознак загальної втоми під час заняття.
Оцінювання стану пацієнтів проводилось тричі: при надходженні (візит 1), у кінці 6 тижня (візит 2) та через 3 місяці після виписки (візит 3). За результатами кожного візиту програма фізичної терапії коригувалася, зокрема змінювалося дозування, тип та тривалість вправ. Для контролю виконання самостійних вправ пацієнти використовували електронний щоденник у Google-таблицях [16]. Його метою було відстеження прогресу в збільшенні обсягу рухів, сили та збільшення показників швидкості ходьби. Щоденник мав чітку структуру, включаючи розділи для фіксації даних гнучкості (назва вправи, кількість повторень, тривалість), сили (вага/повторення, підходи), рівноваги (час утримання, підходи) та тренування ходьби (тип, тривалість). Додатково пацієнти зазначали дату, суб'єктивну оцінку болю, загальне самопочуття та інші коментарі щодо прогресу. Комплексне обстеження пацієнтів базувалося на застосуванні інструментів та шкал, що дозволило забезпечити методологічне порівняння результатів з актуальними міжнародними даними [8, 24, 25]. Протокол оцінювання охоплював аналіз когнітивного статусу за допомогою Монреальської шкали (MoCA) [8, 18] верифікацію м’язової сили шляхом мануального м’язового тестування (MMT) та вимірювання обсягу рухів методом гоніометрії. Суб’єктивну інтенсивність больового синдрому фіксували за ВАШ, тоді як показники функціональної мобільності визначали за допомогою 10-метрового тесту (10MWT). Статистичний аналіз результатів дослідження проводили з використанням програми STATISTICA 6.1 (Statsoft Inc., США, ліцензійний № AGAR909E415822FA). Гіпотезу щодо нормальності розподілу показників оцінювали за критерієм Шапіро-Вілка. Нормально розподілені кількісні дані представлені у форматі М(SD), де М – середня арифметична величина, SD – середньоквадратичне відхилення, а ненормально розподілені – Mе (Q25;Q75), де Ме – медіана, Q25, Q75 – 25, 75 квартилі відповідно. Якісні дані представлені абсолютною кількістю спостережень (n) та відносною величиною (%). Оцінювання вірогідності відмінностей незалежних груп за кількісними показниками здійснювали за допомоги U-критерію Манна-Вітні, у пов’язаних групах – за критерієм Вілкоксона. Порівняльний аналіз за якісними показниками між групами проводився за критерієм хі-квадрат Пірсона. Відмінності вважали статистично достовірними за умови, що «р» менше 0,05 [12].
РЕЗУЛЬТАТИ ТА ЇХ ОБГОВОРЕННЯ
За результатами підсумкової гоніометрії суглобів нижніх кінцівок було встановлено, що пацієнти основної групи продемонстрували статистично високозначущу перевагу у відновленні активного згинання колінного суглоба (p=0,0005), досягнувши показників функціональної норми 120 градусів, тоді як у контрольній групі зберігалося клінічно виражене обмеження рухливості. При дослідженні гомілковостопного суглоба за показником активного дорсального згинання також було виявлено достовірну перевагу основної групи, у якій зафіксовано суттєвіший приріст амплітуди рухів порівняно з контрольною групою (p=0,0008). Оцінка функціонального стану кульшового суглоба засвідчила, що пацієнти обох груп досягли цільових показників активного згинання на момент завершення курсу реабілітації, проте в основній групі було зафіксовано вищі темпи відновлення амплітуди на проміжних етапах спостереження та вищу однорідність отриманих результатів у межах вибірки (мінімальна варіабельність значень), (табл. 2).
Хоча темпи зростання м’язової сили були схожими в обох групах, пацієнти основної групи досягли достовірно вищих абсолютних показників сили м’язів стегна, зокрема тих, що відповідають за відведення та внутрішню ротацію. Завдяки можливості системи «Omego Plus» точно дозувати навантаження було досягнуто значного зміцнення м'язів (табл. 3).
Аналіз результатів 10-метрового тесту (10MWT) виявив позитивну динаміку зростання швидкості ходьби в обох групах протягом усього курсу реабілітації. Проте порівняльний аналіз між групами показав, що статистично значуща перевага основної групи над контрольною сформувалася лише під час 3-го візиту. Хоча в основній групі спостерігалося достовірне покращення показників на кожному етапі (між 1, 2 та 3-м візитами), саме на завершальному етапі було зафіксовано міжгрупову різницю, що підтверджує кумулятивний ефект роботизованої терапії та її перевагу в довгостроковій перспективі відновлення швидкості та якості ходьби (рис. 1, 2).
Показник Групи порівняння основна (n=30) контрольна (n=30) р Згинання в кульшовому суглобі (Mе (Q25;Q75) 1 120,0 (100,0;120,0) 105,0 (100,0;120,0) 0,19 2 120,0 (120,0; 120,0) 112,5 (110,0;120,0) 0,06 3 120,0 (120,0:120,0) 120,0 (115,0;120,0) 0,01 ∆ 1-2 0,00 (0,00;10,0) 10,0 (0,00;10,0) 0,30 ∆ 1-3 0,00 (0,00;20,0) 0,00 (12,5;15,0) 0,80 Приведення в кульшовому суглобі 1 30,0 (25,0;30,0) 25,0 (20,0;30,0) 0,10 2 30,0 (30,0;30,0) 30,0 (30,0;30,0) 0,01 3 30,0 (30,0;30,0) 30,0 (30,0;30,0) 0,6 ∆ 1-2 0,00 (0,00;5,00) 5,00 (0,00;10,0) 0,46 ∆ 1-3 0,00 (0,00;5,00) 7,50 (0,00;10,0) 0,11 Згинання в колінному суглобі (Mе (Q25;Q75) 1 100 (80,0;110,0) 90,0 (90,0;100,0) 0,11 2 110,0 (100,0;120,0) 95,0 (85,0;105,0) 0,01 3 120,0 (110,0;120,0) 100,0 (90,0;110,0) 0,01 ∆ 1-2 10,0 (10,0;10,0) 5,00 (5,00;5,00) 0,002 ∆ 1-3 20,0 (10,0;30,0) 10,0 (10,0;10,0) 0,0005 Дорсальне згинання в ГС (Mе (Q25;Q75) 1 30,0(10,0;30,0) 5,00(5,00;10,0) 0,05 2 35,0 (20,0;35,0) 35,0 (35,0;40,0) 0,03 3 45,0 (35,0;45,0) 40,0 (40,0;45,0 0,7 ∆ 1-2 5,00 (5,00;10,0) 5,00 (5,00;10,0) 0,8 ∆ 1-3 15,0 (15,0;20,0) 10,0 (10,0;15,0) 0,0008 Примітки: 1,2,3 – візити; ∆ – різниця між візитами; р – рівень статистичної значущості.
(Mе (Q25;Q75)
Показник сили Групи порівняння р основна (n=30) контрольна (n=30) М’язи, що відводять стегно, бали (Mе (Q25;Q75) 1 3,00 (3,00;4,00) 3,00 (2,00;3,00) 0,08 2 3,00 (3,00;4,00) 3,00(2,00;3,00) 0,08 3 4,00 (4,00;5,00) 4,00 (3,00;4,00) 0,02 ∆ 1-2 0,00 (0,00;0,00) 0,00 (0,00;0,00) 0,00 ∆ 1-3 1,00 (1,00;1,00) 1,00 (1,00;1,00) 0,16 М’язи, що виконують внутрішню ротацію, бали (Mе (Q25;Q75) 1 3,00 (3,00;4,00) 3,00 (2,00;3,00) 0,09 2 3,00 (3,00;4,00) 3,00 (2,00;3,00) 0,04 3 4,00 (4,00;5,00) 4,00 (3,00;4,00) 0,04 ∆ 1-2 0,00 (0,00;0,00) 0,00 (0,00;0,00) 0,32 ∆ 1-3 1,00 (1,00;1,00) 1,00 (1,00;1,00) 0,32 Примітки: 1, 2, 3 – візити; ∆ – різниця між візитами; р – рівень статистичної значущості.
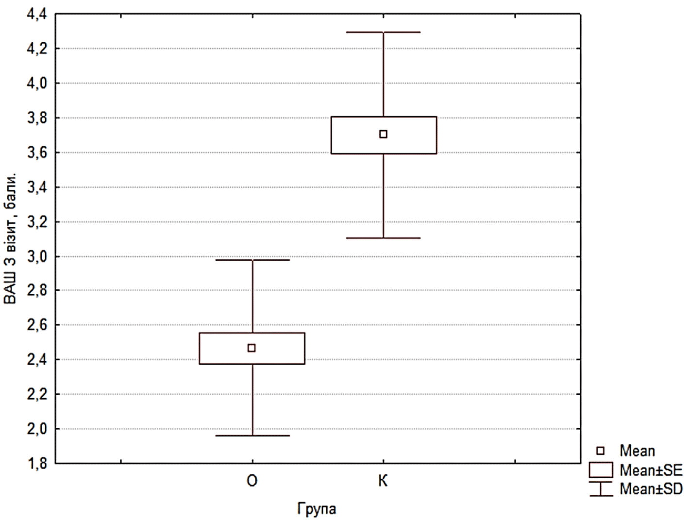
Упровадження роботизованої системи в протокол фізичної терапії підтвердило її високу ефективність у зниженні больового синдрому. В обох групах було зафіксовано зниження інтенсивності болю. Слід підкреслити наявність достовірної різниці показників саме між ІІ та ІІІ етапами оцінювання (p<0,05), що вказує на виражену позитивну динаміку у віддаленому періоді реабілітації. Така закономірність свідчить про анальгезуючий ефект застосованих методів та стійкість досягнутого терапевтичного результату на фінальних етапах відновлення (рис. 3).
Отримані результати підтверджують гіпотезу про високу терапевтичну ефективність поєднання інтеграції роботизованої системи «Omego Plus» з акцентованим ексцентричним навантаженням. Досягнення пацієнтами основної групи функціональної норми згинання колінного суглоба 120 градусів зі статистично високозначущою перевагою над контрольною групою (p=0,0005) свідчить про те, що режим тренувань сприяє ефективнішому подоланню м'язової ригідності та іммобілізаційних контрактур. Ми припускаємо, що використання короткочасних ізометричних зупинок у точках максимальної напруги дозволяє оптимізувати нейром'язову відповідь та покращити пропріоцептивну аферентацію, чого важко досягти при стандартних пасивних або суто ізотонічних вправах. Особливої уваги заслуговує динаміка гомілковостопного суглоба: достовірний приріст амплітуди дорсального згинання (p=0,0008) в основній групі безпосередньо пов’язаний із застосуванням специфічного режиму педалювання. Використання педалей із фіксацією стопи забезпечило умови для ізольованого ексцентричного навантаження для дорсального згинання стопи, що є патогенетично обґрунтованим фактором відновлення еластичності м’язово-сухожилкового комплексу та підготовки пацієнта до фізіологічного перекату стопи під час ходьби. Хоча показники кульшового суглоба в обох групах досягли цільових орієнтирів, вищі темпи відновлення та низька варіабельність результатів в основній групі вказують на стабільність і прогнозованість роботизованого втручання. Це дозволяє стверджувати, що запропонований метод мінімізує вплив суб'єктивних факторів на процес реабілітації та забезпечує швидше досягнення клінічно значущого функціонального результату, що має важливе значення для скорочення термінів відновного лікування.
Аналіз динаміки м’язової сили дозволяє стверджувати, що застосування роботизованої системи «Omego Plus» забезпечує якісну перевагу у відновленні функціональної спроможності м’язів стегна. Попри те, що темпи зростання сили (∆ Ме) були порівняними в обох групах, статистично значуще вищі абсолютні показники в основній групі на момент завершення дослідження вказують на потужніший кумулятивний ефект розробленої програми. Досягнення вищих значень сили відвідних м’язів та внутрішніх ротаторів стегна (p=0,02 та p=0,04 відповідно) має ключове значення для стабілізації таза та забезпечення правильної біомеханіки ходьби, що часто є дефіцитарним показником при стандартній реабілітації.
Особливий інтерес викликає хронологія появи міжгрупових відмінностей. Більш раннє досягнення переваги в силі внутрішніх ротаторів (уже на візиті 2, p=0,04) може бути зумовлене специфікою роботи на педальних модулях, які вимагають постійної стабілізації стопи та гомілки, активуючи глибокі м’язи кульшового комплексу. Ми припускаємо, що збільшення силових показників у цьому випадку відбувається не лише за рахунок гіпертрофії м’язових волокон, а насамперед завдяки інтенсивному рекрутуванню рухових одиниць та покращенню нейром’язової координації. Використання роботизованої системи «Omego Plus» зі зворотним біологічним за стабільний опір та зворотний зв’язок, що дозволяє пацієнту точніше дозувати зусилля та активувати м’язові групи, які до цього не брали участь. Таким чином, запропонований підхід дозволяє швидше сформувати необхідний силовий потенціал для переходу до більш складних завдань для забезпечення потреби переміщень та ходьби, що скорочує загальний термін функціонального відновлення.
Аналіз динаміки швидкості ходьби за результатами 10-метрового тесту (10MWT) свідчить про стійку позитивну траєкторію відновлення локомоторної функції в обох досліджуваних групах. Проте виявлена закономірність, за якої статистично значуща міжгрупова перевага на користь основної групи сформувалася лише на етапі візиту 3, заслуговує на окрему увагу та патогенетичне обґрунтування.
Ми припускаємо, що такий відтермінований характер статистичної переваги є прямим доказом кумулятивного ефекту роботизованої терапії. На відміну від стандартних методів, роботизована система забезпечує високу інтенсивність та прецизійну повторюваність циклічних рухів, що є критичним для консолідації нових рухових патернів. Відсутність міжгрупової різниці на етапі візиту 2 при наявності достовірного внутрішньогрупового покращення вказує на те, що перші тижні реабілітації були періодом накопичення функціонального потенціалу (збільшення амплітуди рухів та сили м’язів).
Перевага, зафіксована на завершальному етапі (візит 3), вказує на успішну функціональну інтеграцію отриманих біомеханічних приростів у цілісний акт ходьби. Вища швидкість ходьби в пацієнтів основної групи на момент завершення курсу підтверджує, що застосований протокол дозволяє не лише покращити окремі параметри (силу чи об’єм рухів), а й трансформувати їх у якісну зміну спроможності функції ходьби. Таким чином, роботизована терапія демонструє вищу ефективність у довгостроковій перспективі, забезпечуючи кращу адаптацію пацієнта до щоденних функціональних навантажень.
Упровадження роботизованої системи «Omego Plus» зі зворотним біологічним зв’язком у протокол фізичної терапії засвідчило її суттєвий анальгезуючий потенціал. Позитивна динаміка зниження інтенсивності больового синдрому в обох досліджуваних групах підкреслює фундаментальну роль контрольованої рухової активності в процесах модуляції ноцицептивної відповіді. Проте виявлена статистично значуща різниця показників саме між ІІ та ІІІ етапами оцінювання (p<0,05) вказує на виражений накопичувальний характер терапевтичного впливу та його особливу ефективність у довготривалому періоді реабілітації. Ми припускаємо, що така закономірність зумовлена поступовою функціональною адаптацією нейром’язового апарату до навантажень та поступовим зниженням явищ центральної сенситизації на фоні відновлення фізіологічної біомеханіки рухів. Використання роботизованої системи дозволяє забезпечити прецизійне дозування амплітуди та опору, що мінімізує ризик механічного подразнення тканин і сприяє стійкому регресу болю. Стійкість досягнутого результату на завершальному етапі відновлення підтверджує, що запропонована методика сприяє формуванню стабільних компенсаторних механізмів, що має вирішальне значення для підвищення комплаєнсу пацієнтів та успішної реалізації складніших функціональних завдань.
Таким чином, клініко-функціональне обґрунтування інтеграції роботизованої системи «Omego Plus» у протокол реабілітації пацієнтів з артрогенними контрактурами дозволило сформулювати низку стратегічно важливих висновків, що доповнюють та розширюють сучасну доказову базу.
1. Терапевтична специфічність при артрогенних ураженнях
Це дослідження спрямоване на усунення суттєвої наукової прогалини в менеджменті контрактур суглобів. У той час, як більшість наявних клінічних настанов зосереджені на корекції міогенних скорочень [15], наша робота вперше демонструє високу ефективність роботизованої терапії при артрогенних змінах, які характеризуються резистентністю до стандартної фізичної терапії через глибоку структурну перебудову суглобових елементів. Верифікація результативності методу в цій складній когорті пацієнтів є логічним продовженням попередніх напрацювань [14] та вказує на ширший терапевтичний діапазон системи «Omego Plus» порівняно зі стандартними методами механотерапії.
2. Досягнення функціональних цільових результатів та нейром’язова оптимізація
На відміну від багатьох досліджень, що фіксують лише загальне покращення мобільності [1, 22, 23], отримані нами дані свідчать про досягнення клінічно значущої функціональної норми (згинання колінного суглоба 120 градусів, p=0,0005). Такі результати є прямим наслідком застосування розробленого динамічного режиму. Особливу наукову новизну становлять дані щодо прецизійного зміцнення м’язів-стабілізаторів: достовірно вищі абсолютні показники сили відвідних м’язів та внутрішніх ротаторів стегна (p=0,02 та p=0,04 відповідно) підтверджують гіпотезу про здатність роботизованої системи з біологічним зворотним зв’язком забезпечувати ефективніше рекрутування рухових одиниць глибоких м’язових груп.
3. Кумулятивна траєкторія відновлення та нейромодулюючий ефект
Аналіз результатів виявив специфічну часову закономірність відновлення локомоторної функції та модуляції болю. Формування статистично значущої міжгрупової переваги у швидкості ходьби (10MWT) виключно на завершальному етапі (візит 3) обґрунтовує кумулятивний характер роботизованого втручання, необхідний для стійкої нейромоторної адаптації та інтеграції біомеханічних приростів у цілісний патерн ходьби. Водночас пролонгований регрес больового синдрому, найбільш виражений на фінальних етапах втручання (p<0,05), вказує на нейромодулюючий вплив циклічного роботизованого навантаження. Це дозволяє стверджувати, що застосований протокол сприяє зниженню явищ центральної сенситизації та формуванню стабільних компенсаторних механізмів. Таким чином, інтеграція «Omego Plus» у післягострому періоді забезпечує не лише швидку корекцію окремих функцій, а й якісно вищий рівень нейром’язового контролю, результати якого залишаються стійкими в катамнестичному періоді спостереження.
ВИСНОВКИ
Застосування системи «Omego Plus» забезпечує статистично значуще відновлення амплітуди згинання колінного суглоба та плантарного згинання гомілки до рівня функціональної норми, на відміну від стандартної терапії, де зберігається обмеження рухливості.- Застосування дозованих тренувань з використанням роботизованих систем забезпечує виражений приріст силового потенціалу цільових м'язів стегна (абдукторів та внутрішніх ротаторів). Це створює надійну біомеханічну основу для стабілізації суглоба та відновлення фізіологічного патерна ходьби.
- Регулярне циклічне навантаження забезпечує виражений пролонгований анальгезуючий ефект (p<0,05), зумовлений зниженням збудливості рецепторів, що дозволяє суттєво розширити безбольовий діапазон рухів.
- Покращення швидкості ходьби (10MWT) має накопичувальний характер; досягнення стійкої нейромоторної адаптації та зміна рухового стереотипу потребують завершення повного реабілітаційного курсу.
- Синергія відновлення мобільності, збільшення сили та мінімізації болю забезпечує якісно вищий рівень нейром’язового контролю, сприяючи поверненню пацієнтів до фізіологічного патерна ходьби в післягострому періоді.
Внески авторів:
Рягузова О.Т. – ресурси, концептуалізація, методологія, проведення дослідження, курація даних, формальний аналіз та інтерпретація, написання – початковий проєкт, написання – рецензування та редагування;
Неханевич О.Б. – концептуалізація, написання – початковий проєкт, написання – рецензування та редагування, ведення, адміністрування проєкту;
Логвиненко В.В. – перевірка, написання – рецензування та редагування.
Фінансування. Дослідження не має зовнішніх джерел фінансування.
Конфлікт інтересів. Автори заявляють про відсутність конфлікту інтересів.
REFERENCES
- Banyai AD, Brișan C. Robotics in physical rehabilitation: Systematic review. Healthcare. 2024;12(17):1720. doi: https://doi.org/10.3390/healthcare12171720
- Cyriax J. Textbook of orthopaedic medicine. Vol. 1. Diagnosis of soft tissue lesions. 8th ed. London: Bailliere Tindall; 1982. PMCID: PMC1439227
- DeLisa JA, Gans BM, Walsh NE, editors. Physical medicine and rehabilitation: Principles and practice. 4th ed. Philadelphia: Lippincott Williams & Wilkins; 2005. ISBN: 9780781741309
- Dolhopolov OV, Polishko VP, Yarova ML. [Epidemiology of musculoskeletal diseases in Ukraine during 1993-2017]. Bull Orthop Traumatol Prosthet. 2019;4:101-8. Ukrainian.
doi: https://doi.org/10.37647/0132-2486-2019-103-4-96-104 - Guriev SO, Kushnir VA, Solovyov OS. [Clinical and anatomical characteristics of road traffic injuries in a megalopolis. Second report: anatomical verification of injuries]. Emergency Medicine. 2020;3:73-8. Ukrainian.
- Kaneguchi A, Ozawa J, Minamimoto K, Yamaoka K. Low-level laser therapy prevents treadmill exercise-induced progression of arthrogenic joint contracture via attenuation of inflammation and fibrosis in remobilized rat knees. Inflammation. 2019;42(3):857-73. doi: https://doi.org/1007/s10753-018-0941-1
- Kyrychenko A, Khanyukova I, Moroz O, et al. Disability trends among elderly Ukrainians in war conditions: a 10-year retrospective study. Aging Clin Exp Res. 2024;36(1):211.
doi: https://doi.org/1007/s40520-024-02863-y - Lim J, Choi A, Kim B. The effects of resistance training on pain, strength, and function in osteoarthritis: Systematic review and meta-analysis. J Pers Med. 2024;14(12):1130. doi: https://doi.org/3390/jpm14121130
- Mezentseva I, Kuzmenko O, Vambol S, et al. Trends and challenges of chronic occupational morbidity in Ukraine: A sectoral analysis and preventive strategies. Diversity: Disease Preventive of Research Integrity. 2025;5(2):60-68. doi: https://doi.org/10.24252/diversity.v5i2.52247
- Nekhanevych O, Griban G, Sekretnyi V, et al. Predicting the effectiveness of physical therapy in hockey players after cerebral concussion. Int J Hum Movement Sports Sci. 2023;11(2):316-25. doi: https://doi.org/13189/saj.2023.110208
- Ombregt L. A system of orthopaedic medicine. 3rd ed. Oxford: Churchill Livingstone Elsevier; 2013. doi: https://doi.org/10.1016/B978-0-7020-3145-8.00001-6
- Pyrizhkov SI, Riazantseva VV, Motoryn RM. [Statistics: a textbook]. [Internet]. Kyiv: Kyiv National University of Trade and Economics; 2020 [cited 2025 Dec 03]. Available from: https://ur.knute.edu.ua/server/api/core/bitstreams/f4c44170-66d0-43b2-b765-30fad164a410/content
- Reddy KJ. Motor rehabilitation and biofeedback. In: Innovations in Neurocognitive Rehabilitation. Cham: Springer; 2025. p. 231-66. doi: https://doi.org/1007/978-3-031-88117-6_11
- Riahuzova O, Nekhanevych O. [Effectiveness of the robotic rehabilitation system with biofeedback "Omego Plus" in patients with myogenic contractures of the lower limb joints]. Aktual Probl Suchasnoi Med. 2025;25(3):239-45.
doi: https://doi.org/10.31718/2077-1096.25.3.239 - Svane C, Nielsen JB, Lorentzen J. Nonsurgical treatment options for muscle contractures in individuals with neurologic disorders: A systematic review with meta-analysis. Arch Rehabil Res Clin Transl. 2021;3(1):100104. doi: https://doi.org/1016/j.arrct.2021.100104
- Tariq H, Dunn J, Forrester S, et al. Development and evaluation of a quality improvement educational video on joint contractures for care home staff. BMJ Open Qual. 2024;13(4):e002923.
doi: https://doi.org/1136/bmjoq-2024-002923 - Tecer D, Yaşar E, Adıgüzel E. Which treatment protocol is better in rehabilitation of joint contracture? Gulhane Med J. 2020;62(1):14-20. doi: https://doi.org/4274/gulhane.galenos.2019.702
- Totska AV, Nekhanevych OB, Korota YuV, et al. Effectiveness of using compensatory strategies in the rehabilitation of patients with visual-spatial neglect during the post-acute period of rehabilitation of acute cerebral stroke. Medicni perspectivi. 2025;30(1):127-34. doi: https://doi.org/26641/2307-0404.2025.1.325373
- Trutiak I, Malytskyi V, Samotovka M, et al. Problematic issues of limb amputation in wounded with combat trauma. Proc Shevchenko Sci Soc Med Sci. 2023;2(72):2-4. Ukrainian.
doi: https://doi.org/10.25040/ntsh2023.02.08 - Trutiak IR, Prokhorenko HA, Los DV, et al. [Treatment of combat limb trauma in a military medical clinical center]. Ukr Med News. [Internet]. 2023 [cited 2025 Dec 03];3-4:106-7. Ukrainian. Available from: https://umv.com.ua/index.php/journal/article/view/182
- Tyazhelov OA, Khasavneh Ayham AM, Karpinska OD, et al. [Conceptual model of the process of forming immobilization contractures]. Orthop Traumatol Prosthet. 2021;1:44-51. Ukrainian. doi: https://doi.org/15574/OTP.2021.122.44
- Wang H, Shen H, Han Y, et al. Effect of robot-assisted training for lower limb rehabilitation on lower limb function in stroke patients: a systematic review and meta-analysis. Front Hum Neurosci. 2025;19:1549379. doi: https://doi.org/3389/fnhum.2025.1549379
- Wu K, Pan HH, Lin CH. Robotic exoskeletons and total knee arthroplasty: The future of knee rehabilitation and replacement – A meta-analysis. Medicine. 2024;103(17):e37876. doi: https://doi.org/1097/MD.0000000000037876
- Yokochi M, Nakamura M, Iwata A, et al. Characteristics of lower limb muscle activity during walking and stair climbing with full weight bearing in postoperative ankle fracture patients. Cureus. 2025;17(7):e87620. doi: https://doi.org/7759/cureus.87620
- Zhong Y, Liu H, Li A. Efficacy of comprehensive rehabilitation training for elderly patients with lower limb fractures after surgery. Pak J Med Sci. 2025;41(7):2046-51. doi: https://doi.org/12669/pjms.41.7.12125
- Zhou CX, Wang F, Zhou Y, et al. Formation process of extension knee joint contracture following external immobilization in rats. World J Orthop. 2023;14(9):669-81. doi: https://doi.org/10.5312/wjo.v14.i9.66

UK
EN 




